Featured
- Get link
- X
- Other Apps
Newtons Law Of Cooling Calculator
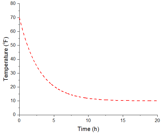
Newtons Law Of Cooling Calculator. Heat transfer coefficient between the surface of the body. Newton's law of cooling calculator is a free tool that computes the temperature of a body easily.

Newton’s law of cooling practice problems. Newton's law of cooling online calculator. Target final temperature t (t):
Initial Temperature Of Object (To):
Newton's law of cooling equation: Newton's law of cooling calculator. Calculate the time taken by a.
Tbulk = 296°C The Linear Heat Rate Of.
This free calculator takes ambient temperature, initial temperature, cooling constant and time. Firstly, you need to enter the values for convection; T o = object's initial temperature.
This Calctown Calculator Calculates The Time Taken For Cooling Of An Object From One Temperature To Another.
The first problem involves cooli. Newton's law of cooling online calculator. Newton's law of cooling calculator is a free tool that quickly calculates a body's temperature.
Newton's Law Of Cooling Calculator Is A Free Tool That Computes The Temperature Of A Body Easily.
Heat transfer coefficient between the surface of the body. So, the use of newton’s law of cooling calculator is very simple. newton's law of cooling calculator are physic/math calculator to find initial temperature of a object, final temperature of a object, surrounding temperature, time difference of initial.
Help Edit Time (T) Peripheral Constant Temperature (Ts):
Time difference of t2 and t1. The thermal conductivity of reactor coolant (300°c) is: Lbs to newtons calculator ;
Comments
Post a Comment